
Dưới đây là đề thi và đáp án môn Toán.
![]() |
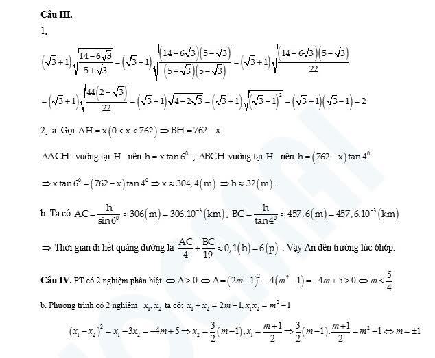
| Đề thi môn Toán lớp 10 tại TP.HCM |
Hướng dẫn làm đề thi môn Toán tuyển sinh vào lớp 10 của TP.HCM do thầy Hồng Trí Quang, Hệ thống giáo dục Hocmai thực hiện (độc giả lưu ý đáp án này chỉ mang tính chất tham khảo).
![]() ![]() ![]() ![]() |
|
Thầy Phạm Hồng Danh, Trưởng Bộ môn Toán cơ bản Trường ĐH Kinh tế TP.HCM, cho rằng đề thi năm nay có phần “lạ” hơn mọi năm. Phần lạ là ý 2 của câu hỏi số 3 liên quan đến các kiến thức tang, sin, cos chưa ra trong vòng 15 năm trở lại đây. Dù đây là kiến thức lớp 9 nhưng đây là điểm mới của đề năm nay. Còn lại tất cả các câu hỏi còn lại đều có bố cục giống như đề thi trước đây. Về nội dung từng câu hỏi, câu hỏi số 5 về hình học có nhiều ý rất khó, đặc biệt là câu hỏi d. của câu hỏi này chỉ dành cho học sinh giỏi, câu hỏi c. dành cho học sinh khá. Thầy Nguyễn Cao Cường, giáo viên Toán trung tâm Tuyensinh247.com, đánh giá đề toán của TP.HCM năm nay hay và có tính phân loại rất cao. “Cấu trúc đề vẫn gồm 5 bài với biểu điểm như năm trước. Ngoài bài toán thực tế giải bằng cách lập phương trình ở câu 1b thì đề còn đưa thêm một bài toán thực tế được thiết kế lại từ một bài trong sách bài tập (bài 3, ý 2). Các em học sinh học lực trung bình có khả năng đạt được 5 đến 5,5 điểm. Tính phân loại của đề nằm ở các câu 4b và 5c,d. Theo tôi điểm sẽ dao động chủ yếu ở khoảng 6,0 – 7,5 điểm”. |
Tuệ Minh - Thanh Hùng




